Sc Unemployment Claim Verification Form
COLUMBIA SC WSPA South Carolinas unemployment website is back in action after an issue with the verification system. Please note that Unemployment Insurance is available to Hoosiers whose employment has been interrupted or ended due to COVID-19 you should file for UI and your claim.
Https Dss Sc Gov Resource Library Forms Brochures Files 1245 Pdf
You must continue to certify for each week that you wish to claim benefits while the identity verification issue is being resolved to prevent delays in processing your claim.

Sc unemployment claim verification form. Workers Compensation Commission PO Box 1715 1333 Main Street Suite 500 Columbia SC 29202-1715 803-737-5700. All of the information that you have come to rely on from our agency is in this fresh clean efficient format which is also now fully compatible in mobile view. South Carolina Unemployment Application.
You will need to click Verify with IDme and complete the account creation and identity verification. Refer to page 2 of this notice for instructions on how to submit your documents. Then on line 20 of the SC1040 form enter the total amount of.
Resuming the UI claim. Please check the appropriate box below. What to Know About Unemployment Fraud.
4576892 Claim Effective Date. Please use our Quick Links or access one of the images below for additional information. Your participation strengthens DEWs efforts to ensure South Carolina employers tax dollars are spent wisely and UI benefits only go to eligible individuals.
Box 908 Columbia SC. Go to dewscgov and click the MyBenefits portal button. COLUMBIA SC WOLO The South Carolina Department of Employment and Workforce says they have referred 2855 unemployment insurance claims.
The Department of Employment and Workforce DEW needs your help preventing UI fraud and abuse. W-2 forms from your most recent military service. As of February 2021 DEW has submitted a total of 2855 unemployment insurance claims to state or federal authorities for investigation and prosecution for UI fraud.
DEW explains access denied message other unemployment verification issues Kayland Hagwood 9282020 Tennessee asks top US. For those referred to the DOLOIGs office the US. Department of Employment and Workforce is excited to welcome you to the refreshed dewscgov website.
You can file this claim online through the MyBenefits portal which you can access 24 hours a day anywhere there is Internet service including SC Works centers. This page is not accessible. Welcome to The Unemployment Insurance System Users are accessing a US.
04052020 Page 1 of 1 CVRRR_400 CLAIM VERIFICATION NOTICE RESPONSE REQUIRED The Department of Employment and Workforces DEW is conducting a random audit of your claim for Unemployment Insurance UI Pandemic Unemployment Assistance PUA andor Pandemic Extended Unemployment. Information system usage may be monitored recorded and subject to audit. In keeping with the security objectives of the SCDOR the following browsers are currently supported by our website.
You must submit your first or initial claim in order for DEW to start the process and determine if your circumstances meet eligibility requirements. This page is not accessible. Respond to Your Request for Identity Verification.
EO Officer South Carolina Department of Employment and Workforce PO. If we couldnt verify your identity based on the information you gave us when you filed for unemployment we will notify you that you will need to provide additional documentation and which specific method you must use to verify your identity. And must be entered on the forms you submit to claim Unemployment.
Department of Justice National Unemployment Insurance Fraud Task Force will take over on the investigation. 29202 Telephone 803 737-2381 TTY Relay Service dial 711-. South Carolina Department of.
Any unemployment compensation you received should be included on line 1 of the state form. You have reached Indianas one stop shop for Unemployment Insurance needs - for Individuals who are Unemployed and for Employers. If this is the first claim you are filing since release from the military and you do not live in SC contact the State Workforce Agency in the state you are physically located in for assistance with filing your claim.
Click Register now to begin process. South Carolina Department of Employment and Workforce 12740228 Mailing Date. Income and Eligibility Verification Notice.
Form App 100 Download Printable Pdf Or Fill Online Notice Of Appeal To Appeal Tribunal South Carolina Templateroller
Best Gym Membership Cancellation Letter Template Excel Example In 2021 Letter Templates Free Lettering Letter Templates
Form 2544 Download Fillable Pdf Or Fill Online Weekly Claim Form Self Employment Assistance Sea Program Oregon Templateroller
Form 7202 Covid 19 Credit For Sick Leave Or Family Leave Drake20
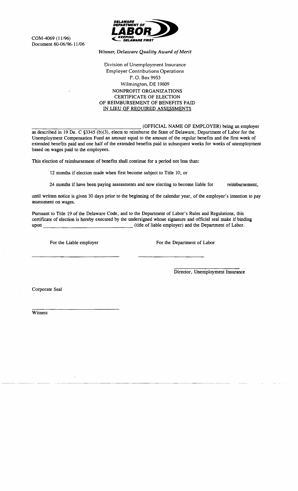
Form Com 4069 Download Fillable Pdf Or Fill Online Nonprofit Organizations Certificate Of Election Of Reimbursement Of Benefits Paid In Lieu Of Required Assessments Delaware Templateroller
Applying For Benefits Sc Department Of Employment And Workforce
Applying For Benefits Sc Department Of Employment And Workforce
Form 2544 Download Fillable Pdf Or Fill Online Weekly Claim Form Self Employment Assistance Sea Program Oregon Templateroller
Ui Tax Forms Sc Department Of Employment And Workforce
Accessing Your 1099 G Sc Department Of Employment And Workforce
Standard Employment Agreement Employment Contract Template Agreement
Free Wage Verification Form Pdf Word Eforms
Pin On 1000 Examples Online Form Templates
Filling Out A South Carolina Financial Declaration Form
Free Employment Income Verification Letter Pdf Word Eforms
Forms Sc Department Of Employment And Workforce
Wg15 Form Fill Out And Sign Printable Pdf Template Signnow
Wage Verification Form Fill Out And Sign Printable Pdf Template Signnow

Post a Comment for "Sc Unemployment Claim Verification Form"